ساعات کار از ساعت 8:30 صبح تا 18 بعد از ظهر - پشتيباني فروش -02166895887-09122885447
tel

خرید دی بوتیل تین دی لورات

دسته بندی
آخرین محصول
تماس / Contact
  • تلفن : 66895887-021
  • واتس آپ _ تلگرام 09122885447
  • ایمیل : info@shimikohan.ir
فروش نیکوتین مرک آلمان

خرید دی بوتیل تین دی لورات

اگر در آزمایشگاه‌های شیمی آلی، صنایع پلیمر، تولید چسب و رزین یا حتی پروژه‌های دارویی فعالیت داشته باشید، احتمالاً نام دی بوتیل تین دی لورات به گوشتان خورده است. این ماده که با نام Dibutyltin Dilaurate یا به اختصار DBTDL شناخته می‌شود، یکی از پرمصرف‌ترین کاتالیست‌های قلع آلی در دنیا است.

دلیل محبوبیت دی بوتیل تین دی لورات این است که هم راندمان واکنش را بالا می‌برد و هم کنترل‌پذیری خوبی در واکنش‌های شیمیایی ایجاد می‌کند. در بسیاری از فرمولاسیون‌های صنعتی، نبود DBTDL یعنی افت کیفیت محصول نهایی.

شرکت شیمی کهن ،نمایندگی مواد شیمیایی سیگماآلدریچ در ایران می باشد این شرکت ارائه دهنده خدمات به مشتریان عزیز می باشد. کلیه محصولات مواد شیمیایی آزمایشگاهی از جمله مواد مرک، محصولات سیگماآلدریچ و کلیه محصولات آزمایشگاهی را به مشتریان ایرانی ارائه می دهد.

برای دریافت دی بوتیل تین دی لورات کد : 291234 با شیمی کهن  در ارتباط باشید.

021-66895887تماس :8:30 الی 18)
واتساپ:09122885447 ( 24ساعت)

کد: 291234
نام ماده: دی بوتیل تین دی لورات
95%
DBTDL
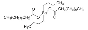
فرمول خطی: (CH3CH2CH2CH2)2Sn[OCO(CH2)10CH3]2
شماره CAS: 77-58-7
وزن مولکولی: 631.56
کد UNSPSC: 12352103
NACRES:NA.22
شناسه ماده PubChem: 24857520
شماره EC: 201-039-8
شماره Beilstein/REAXYS: 4156980
شماره MDL: MFCD00008963

دی بوتیل تین دی لورات

تعریف دی بوتیل تین دی لورات

دی بوتیل تین دی لورات یک ترکیب آلی فلزی از خانواده قلع آلی‌ها است که نقش اصلی آن کاتالیز کردن واکنش‌های تراکمی و پلیمریزاسیون می‌باشد. این ماده معمولاً به شکل مایع شفاف تا زرد کم‌رنگ عرضه می‌شود و بوی مشخصی دارد.

از نظر شیمیایی، دی بوتیل تین دی لورات از اتصال یون قلع با دو زنجیره بوتیل و دو گروه لورات تشکیل شده و همین ساختار باعث شده در واکنش‌های حساس، عملکردی دقیق و قابل پیش‌بینی داشته باشد.

دی‌بوتیل‌تین دی‌لورات (Dibutyltin Dilaurate) یکی از ترکیبات ارگانوتین پرکاربرد است که به‌عنوان کاتالیست مؤثر در بسیاری از واکنش‌های شیمیایی و فرآیندهای صنعتی مورد استفاده قرار می‌گیرد.

این ماده با خلوص بالا و عملکرد پایدار، انتخابی ایده‌آل برای صنایع پلیمر، رزین، چسب و پوشش‌های صنعتی محسوب می‌شود. محصول ارائه‌شده با برند معتبر Sigma-Aldrich و کد 291234، مناسب استفاده‌های تحقیقاتی و صنعتی است.

291234

Dibutyltin dilaurate

95%

DBTDL

Linear Formula:(CH3CH2CH2CH2)2Sn[OCO(CH2)10CH3]2
CAS Number:77-58-7
Molecular Weight:631.56
UNSPSC Code:12352103
NACRES:NA.22
PubChem Substance ID:24857520
EC Number:201-039-8
Beilstein/REAXYS Number:4156980
MDL number:MFCD00008963

دی بوتیل تین دی لورات

ویژگی‌ها و مشخصات فیزیکوشیمیایی

 شرکت شیمی کهن، نمایندگی مواد شیمیایی سیگماآلدریچ در ایران  می باشد. این مجموعه کلیه محصولات و مواد شیمیایی آزمایشگاهی را از جمله محصولات  مرک merck ، و سیگماآلدریچ ، و کلیه محصولات آزمایشگاهی و صنعتی  را به مشتریان  ارائه می دهد.

دی بوتیل تین دی لورات به دلیل ساختار خاص خود، ویژگی‌هایی دارد که آن را از سایر کاتالیست‌ها متمایز می‌کند:

  • حالت فیزیکی: مایع

  • رنگ: شفاف تا زرد روشن

  • وزن مولکولی: حدود 631 g/mol

  • حلالیت: محلول در اغلب حلال‌های آلی

  • نقطه جوش بالا و پایداری حرارتی مناسب

  • فعالیت کاتالیستی قوی حتی در مقادیر کم

در محیط‌های صنعتی، همین ویژگی‌ها باعث می‌شود مصرف DBTDL اقتصادی و مقرون‌به‌صرفه باشد.

خواص شیمیایی و ایمنی

دی بوتیل تین دی لورات یک ماده فعال شیمیایی است و باید با دقت مورد استفاده قرار گیرد. این ترکیب در واکنش‌های استری شدن، تولید پلی‌یورتان و سیلیکون نقش تسریع‌کننده دارد.

نکات ایمنی مهم

  • تماس مستقیم با پوست و چشم خطرناک است

  • استفاده از دستکش نیتریل و عینک ایمنی توصیه می‌شود

  • در محیط دارای تهویه مناسب استفاده شود

  • دور از رطوبت و منابع حرارتی نگهداری گردد

در صورت رعایت اصول ایمنی، کار با دی بوتیل تین دی لورات کاملاً ایمن و کنترل‌پذیر خواهد بود.

دی بوتیل تین دی لورات

کاربردهای دی بوتیل تین دی لورات در صنعت

کاربردهای این ماده بسیار گسترده است و تقریباً در هر صنعتی که با پلیمر سروکار دارد، دیده می‌شود:

صنایع پلی‌یورتان

در تولید فوم‌های سخت و نرم، DBTDL باعث یکنواختی ساختار فوم و افزایش استحکام می‌شود.

صنایع چسب و رزین

در چسب‌های صنعتی، سرعت گیرایش و کیفیت نهایی با استفاده از دی بوتیل تین دی لورات به‌طور محسوسی افزایش پیدا می‌کند.

صنایع سیلیکون

در تولید درزگیرها و سیلانت‌های سیلیکونی، این ماده نقش کلیدی دارد.

صنایع دارویی و تحقیقاتی

در سنتز برخی ترکیبات آلی و مطالعات تحقیقاتی به‌عنوان کاتالیست استفاده می‌شود.

کاربردهای آزمایشگاهی و تحقیقاتی

در آزمایشگاه‌های دانشگاهی و مراکز R&D، دی بوتیل تین دی لورات برای:

  • بررسی واکنش‌های پلیمریزاسیون

  • مطالعات سینتیکی

  • سنتز مواد واسطه شیمیایی

  • تست فرمولاسیون‌های جدید

استفاده می‌شود. دوز مصرف کم و اثرگذاری بالا، آن را برای تحقیقات بسیار محبوب کرده است.

دی بوتیل تین دی لورات

نحوه کار و استفاده در آزمایشگاه

برای استفاده از دی بوتیل تین دی لورات در آزمایشگاه:

  1. مقدار دقیق مورد نیاز را با پیپت یا سرنگ مدرج اندازه‌گیری کنید

  2. ماده را به آرامی به مخلوط واکنش اضافه کنید

  3. دما و زمان واکنش را کنترل نمایید

  4. از تماس مستقیم با هوا و رطوبت جلوگیری کنید

در اغلب واکنش‌ها، مقدار بسیار کمی DBTDL کافی است.

مزایا و معایب دی بوتیل تین دی لورات

مزایا

  • قدرت کاتالیستی بالا

  • مصرف کم و بازده زیاد

  • سازگاری با طیف وسیعی از واکنش‌ها

  • نتایج تکرارپذیر و پایدار

معایب

  • حساسیت ایمنی بالا

  • قیمت بالاتر نسبت به برخی کاتالیست‌ها

  • نیاز به نگهداری اصولی

برندهای معتبر دی بوتیل تین دی لورات

در بازار جهانی، برندهای زیر جزو معتبرترین تولیدکنندگان Dibutyltin Dilaurate هستند:

  • Sigma-Aldrich

  • Merck

  • TCI

  • Alfa Aesar

در شیمی کهن تلاش شده دی بوتیل تین دی لورات با کیفیت تضمین‌شده و آنالیز معتبر ارائه شود.

فرم‌های بسته‌بندی

دی بوتیل تین دی لورات معمولاً در بسته‌بندی‌های زیر عرضه می‌شود:

  • بطری‌های 25 گرمی

  • 100 گرمی

  • 500 گرمی

  • بسته‌بندی صنعتی سفارشی

بسته‌بندی‌ها کاملاً ایمن و مناسب حمل‌ونقل آزمایشگاهی هستند.

۱،۳-دی‌وینیل تترا متیل دی سیلوکسان

راهنمای خرید دی بوتیل تین دی لورات

هنگام خرید Dibutyltin Dilaurate به موارد زیر توجه کنید:

  • خلوص و گرید ماده

  • برند تولیدکننده

  • تاریخ تولید و انقضا

  • ارائه COA

  • نوع بسته‌بندی

شیمی کهن تمامی این موارد را برای شما تضمین می‌کند.

شرایط نگهداری

  • دمای اتاق و محیط خشک

  • دور از نور مستقیم

  • در ظرف دربسته

  • دور از مواد اکسیدکننده

سؤالات متداول

آیا دی‌بوتیل‌تین دی‌لورات برای مصارف آزمایشگاهی مناسب است؟
بله، این محصول با خلوص بالا برای تحقیقات و سنتزهای آزمایشگاهی ایده‌آل است.

تفاوت این ماده با سایر کاتالیست‌های قلع چیست؟
قدرت کاتالیزوری بالاتر و پایداری بهتر در واکنش‌های صنعتی.

آیا دی بوتیل تین دی لورات برای مصارف دارویی مناسب است؟
بله، در گریدهای تحقیقاتی و تحت کنترل دقیق استفاده می‌شود.

مقدار مصرف DBTDL چقدر است؟
بسته به واکنش، معمولاً کمتر از 1٪ وزنی.

آیا جایگزین دارد؟
بله، اما اغلب جایگزین‌ها بازده کمتری دارند.

اگر به‌دنبال خرید دی بوتیل تین دی لورات با کیفیت بالا، قیمت مناسب و ارسال سریع هستید، همین حالا از فروشگاه اینترنتی شیمی کهن سفارش خود را ثبت کنید.
📞 مشاوره تخصصی قبل از خرید
🚚 ارسال سریع به سراسر کشور
📄 ارائه برگه آنالیز معتبر

شیمی کهن، انتخاب حرفه‌ای‌ها در مواد شیمیایی آزمایشگاهی 🌱

تضمین اصالت کالا

فروشگاه اینترنتی شیمی‌کهن این ماده را از برندهای معتبر تأمین می‌کند و شما می‌توانید با شرایط زیر تهیه کنید:

  • خرید اینترنتی مطمئن و سریع

  • تضمین اصالت کالا و خلوص بالا

  • ارسال فوری به سراسر کشور

  • مشاوره تخصصی برای انتخاب محصول

  • نیاز به گواهی آنالیز و شماره کاتالوگ

  • ارسال با بسته‌بندی ایمن و حمل ویژه مواد شیمیایی

  • امکان خرید اینترنتی با مشاوره تخصصی و صدور فاکتور رسمی

  •  خرید دی بوتیل تین دی لورات مرک آلمان معمولاً نیازمند مجوزهای قانونی و نظارتی به دلیل خطرات بالقوه آن است.

  • بسته‌بندی باید در ظروف مقاوم در برابر رطوبت و حرارت انجام شود.
  • باید از تأمین‌کنندگان معتبر تهیه شود تا خلوص و کیفیت مناسب تضمین گردد.

برای خرید این محصول، کافیست با ما تماس بگیرید یا از طریق وب‌سایت، سفارش خود را ثبت کنید. ما آماده تأمین نمک همی (کلرید روی) آکریدین اورنج  و محصولات دیگر از جمله محلول آمونیاک 25% کد 105422 مرک در هر مقدار موردنیاز شما هستیم.

📞 تماس با ما: [02166895887]

📧 ایمیل: [ info@shimikohan.ir]

🌐 سایت: [ww.shimikohan.ir]

همین حالا اقدام کنید خرید دی بوتیل تین دی لورات با کیفیت را با شرایط ویژه از ما تهیه کنید!

قیمت به عواملی مانند وزن، برند، نوع بسته‌بندی و حجم سفارش بستگی دارد. جهت دریافت قیمت به‌روز با کارشناسان فروش تماس بگیرید یا از طریق فرم آنلاین سفارش دهید.

دی بوتیل تین دی لورات

خرید دی بوتیل تین دی لورات

شرکت شیمی کهن نمایندگی سیگماآلدریچ در ایران با همکاری کارشناسان مجرب خود در بخش فنی و فروش جهت تامین مواد اولیه پژوهش های تحقیقاتی ماده با کیفیت بالا و قیمت مناسب را فراهم نموده است. شما می توانید جهت خرید دی بوتیل تین دی لورات مرک  با بخش فروش شرکت شیمی کهن تماس حاصل بفرمایید و پس از دریافت پیش فاکتور و اطمینان حاصل کردن از صحیح بودن شماره CAS نامبر مواد شیمیایی درخواستی اقدام به ثبت سفارش نمایید تحویل کالاهای خریداری شده و زمان تحویل آنها به صورت زیر می باشد.نیکوتین جویس 

ارسال کالاهای موجود در انبار: ۲۴ تا ۴۸ ساعت کاری می باشد.

روش ارسال کالا مشتریان تهرانتوسط پیک

 ارسال مشتریان سایر شهرها

توسط شرکت های حمل و نقل ( تیپاکسپستترمینال )

دی بوتیل تین دی لورات

قیمت فروش دی بوتیل تین دی لورات

شرکت شیمی کهن یکی از بزرگترین وارد کنندگان و فروشندگان مواد شیمیایی آزمایشگاهی بخصوص فروش دی بوتیل تین دی لورات می باشد. این شرکت در زمینه واردات محصولات سیگما از تجربه بسیار بالایی برخوردار است. شما می توانید جهت خرید محصولات نمایندگی مرک آلمان و تهیه این محصول (اصلی) با بخش فروش شرکت تماس گرفته و با کارشناسان  این شرکت در ارتباط باشید.خرید نیکوتین مایع

همچنین از طریق کانال واتساپ شرکت نام محصول  را به همراه میزان نیاز خود  ارسال  کنید. در کمترین زمان  ممکن پاسخ استعلام خود را دریافت نمائید. امیدواریم بتوانیم با ارائه محصولات اصلی و با بهترین کیفیت شما را برای رسیدن به اهدافتان یاری نمائیم.نیکوتین مایع

جهت محصولات بیشتر در نمایندگی سیگما آلدریچ و استعلام سریع قیمت دی بوتیل تین دی لورات میتوانید ازطریق کانال واتساپ شرکت با ارسال نام ماده و مقدار نیاز درکمترین زمان پاسخ استعلام خود رادریافت نمائید.

راههای ارتباطی :
021-66895887(ساعات تماس:8:30 الی 19)
واتساپ:09122885447
(ساعات تماس 24ساعت)

85 / 100 امتیاز سئو
LiveZilla Live Chat Software
تماس با ما
تماس تلفنی

شماره تماس

09122885447

تلفن ثابت

شماره تماس

02166895887

اطلاعات
اطلاعات
بازگشت