ساعات کار از ساعت 8:30 صبح تا 18 بعد از ظهر - پشتيباني فروش -02166895887-09122885447
tel

خرید نیترو متان برند hplc

دسته بندی
آخرین محصول
تماس / Contact
  • تلفن : 66895887-021
  • واتس آپ _ تلگرام 09122885447
  • ایمیل : info@shimikohan.ir
فروش نیکوتین مرک آلمان

خرید نیترو متان برند hplc

اگر حتی یک بار با شیمی آلی و سنتز مواد فعال دارویی سر و کار داشته باشید، حتماً اسم نیترو متان به گوش‌تان خورده است. این ماده، یک حلال و واکنش‌دهنده کلیدی در آزمایشگاه‌ها و صنایع شیمیایی محسوب می‌شود.
نیترو متان، نه فقط برای سنتزهای تحقیقاتی و دارویی بلکه برای کاربردهای صنعتی و آموزشی هم فوق‌العاده مفید است.

فرم خالص آن به شکل مایع شفاف و بی‌رنگ است که در بسیاری از واکنش‌های نیتروژن‌دهی و آلکیل‌سازی به عنوان حلال یا عامل واکنشی استفاده می‌شود.

ما اصالت کالا را تضمین می‌کنیم. نیترو متان Merck/Sigma با برگه آنالیز (COA)، بسته‌بندی استاندارد و مشاوره تخصصی قابل ارائه است. هم‌اکنون سفارش دهید.

برای خرید نیترو متان برند hplc با شیمی کهن  در ارتباط باشید.

021-66895887تماس :8:30 الی 18)

واتساپ: 09122885447 ( 24ساعت)

اگر شما یک دانشجو یا پژوهشگر دانشگاهی هستید، می‌توانید نیترو متان برند hplc را با تضمین اصالت و بسته‌بندی استاندارد از فروشگاه ما تهیه کنید و پروژه تحقیقاتی خود را با اطمینان پیش ببرید.

نیترو متان

تعریف نیترو متان

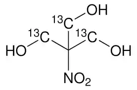
نیترو متان Nitromethane ساده‌ترین نیترو آلکان است که فرمول شیمیایی آن CH₃NO₂ می‌باشد.
این ترکیب، به دلیل داشتن گروه نیترو، هم قطبی و هم واکنش‌پذیر است و بنابراین می‌تواند در واکنش‌های کربونیل، آلکیل‌سازی و نیتروژن‌دهی شرکت کند.

اهمیت نیترو متان در شیمی و صنعت

اگر بخواهیم یک ماده ساده اما کلیدی در شیمی آلی و سنتز دارویی معرفی کنیم، نیترو متان همیشه در بالای لیست قرار می‌گیرد. این ترکیب نه تنها به عنوان حلال قطبی و واکنش‌دهنده نیتروژن‌دهنده کاربرد دارد، بلکه در صنایع دارویی، پلیمر و نانوشیمی هم نقش اساسی بازی می‌کند.

در آزمایشگاه‌های دانشگاهی، نیترو متان یکی از پرکاربردترین واکنش‌دهنده‌های قطبی است که دانشجویان و پژوهشگران می‌توانند با آن سنتزهای آلکیل‌سازی، نیتروژن‌دهی و کربونیل‌دار کردن را انجام دهند.

Nitromethane (CH₃NO₂) ساده‌ترین نیترو آلکان است.
ویژگی‌های کلیدی آن:

  • گروه نیترو (-NO₂) فعال و قطبی

  • مایع شفاف و بی‌رنگ

  • واکنش‌پذیری مناسب در محیط‌های قطبی

به دلیل داشتن کربن α فعال در کنار گروه نیترو، نیترو متان می‌تواند در واکنش‌های سنتز مواد آلی و دارویی شرکت کند.

نیترو متان

مشخصات فیزیکوشیمیایی نیترو متان

برای استفاده دقیق و ایمن در آزمایشگاه و صنعت، این مشخصات را در نظر بگیرید:

  • فرمول شیمیایی: CH₃NO₂

  • جرم مولی: 61.04 g/mol

  • حالت فیزیکی: مایع شفاف

  • رنگ: بی‌رنگ

  • بو: ملایم و شبیه اتر

  • حلالیت: مخلوط‌پذیر با اکثر حلال‌های آلی

  • نقطه جوش: 101–102°C

  • چگالی: 1.138 g/cm³

این ویژگی‌ها باعث می‌شود نیترو متان گزینه‌ای عالی برای واکنش‌های آلی و سنتزهای آزمایشگاهی باشد.

خواص شیمیایی و ایمنی

 شرکت شیمی کهن، نمایندگی مواد شیمیایی سیگماآلدریچ در ایران  می باشد. این مجموعه کلیه محصولات و مواد شیمیایی آزمایشگاهی را از جمله محصولات  مرک merck ، و سیگماآلدریچ ، و کلیه محصولات آزمایشگاهی و صنعتی  را به مشتریان  ارائه می دهد.

خواص شیمیایی

  • قطبی و حلال خوب برای ترکیبات آلی

  • دارای واکنش‌پذیری با آلدهیدها و کتون‌ها

  • مناسب سنتز مواد دارویی و نیترو دارویی

  • قابلیت شرکت در واکنش‌های آلکیل‌سازی و نیتروژن‌دهی

نکات ایمنی

نیترو متان یک ماده قابل اشتعال و سمی در غلظت بالا است، بنابراین رعایت اصول ایمنی الزامی است:

  • استفاده از دستکش و عینک آزمایشگاهی

  • کار در هود شیمیایی با تهویه مناسب

  • دور از حرارت و شعله

  • نگهداری در ظروف دربسته و خنک

نیترو متان

کاربردهای نیترو متان

کاربردهای تحقیقاتی

  • سنتز دارویی و شیمی آلی

  • تحقیقات پروتئین و آمینواسیدها

  • واکنش‌های کربونیل و آلکیل‌سازی

  • پروژه‌های دانشگاهی و پایان‌نامه‌ای

کاربردهای صنعتی

  • حلال در تولید رزین‌ها و پلیمرها

  • صنایع دارویی و بیوشیمی

  • سوخت موتورهای حرفه‌ای (در موتورهای مسابقه‌ای به عنوان افزودنی)

  • آزمایشگاه‌های R&D شیمیایی

نحوه کار و استفاده در آزمایشگاه

در محیط آزمایشگاهی، نیترو متان معمولاً:

  • به عنوان حلال یا واکنش‌دهنده استفاده می‌شود

  • قبل از استفاده باید از خشکی و خلوص بالا آن اطمینان حاصل کرد

  • در واکنش‌های آلکیل‌سازی و نیتروژن‌دهی، کنترل دما و غلظت ماده اهمیت زیادی دارد

واکنش‌پذیری و مکانیزم‌های شیمیایی

نیترو متان به دلیل دارا بودن پروتون اسیدی در کربن α می‌تواند:

  • در واکنش‌های آلکیل‌سازی شرکت کند

  • به عنوان واکنش‌دهنده نیتروژن‌دهنده عمل کند

  • در واکنش‌های کربونیل و Aldol حضور داشته باشد

مثال واقعی آزمایشگاهی:
در سنتز یک داروی آلی، نیترو متان به عنوان مشتق نیترو-آلکیل استفاده می‌شود و با یک آلدئید واکنش می‌دهد تا یک β-nitro الکل تشکیل شود، که بعداً به آمین‌ها و دیگر ترکیبات فعال تبدیل می‌شود.

مزایا و معایب نیترو متان

مزایا

  • حلال و واکنش‌دهنده چندمنظوره

  • خلوص بالا و شفافیت مناسب

  • کاربرد گسترده در آزمایشگاه و صنعت

  • کنترل آسان در واکنش‌های تحقیقاتی

معایب

  • اشتعال‌پذیری بالا

  • نیاز به تهویه و تجهیزات ایمنی مناسب

  • استفاده محدود به محیط‌های تخصصی

نیترو متان

برندهای معتبر نیترو متان

  • Sigma-Aldrich

  • Merck

  • TCI

  • Alfa Aesar

در شیمی کهن این محصول با کیفیت آزمایشگاهی و قیمت رقابتی ارائه می‌شود.

 پروپیدیوم یدید

فرم‌های بسته‌بندی

  • بطری‌های گرمی آزمایشگاهی

  • ظروف مقاوم و درب‌دار

  • مناسب دانشگاه‌ها و آزمایشگاه‌های صنعتی

راهنمای خرید نیترو متان

قبل از خرید، توجه داشته باشید:

  • گرید مناسب (آزمایشگاهی یا صنعتی)

  • مقدار مصرف مورد نیاز

  • شرایط پروژه و نوع واکنش

مزایای خرید از شیمی کهن:

  • تضمین کیفیت

  • مشاوره تخصصی رایگان

  • ارسال سریع

  • پشتیبانی علمی واقعی

سؤالات متداول

آیا این ماده برای پروژه‌های دانشگاهی مناسب است؟
بله، کاملاً مناسب تحقیقات و سنتزهای آزمایشگاهی است.

گرید محصول چیست؟
آزمایشگاهی و صنعتی.

امکان خرید عمده وجود دارد؟
بله، با شرایط همکاری ویژه.

🔬 اگر به دنبال خرید نیترو متان با کیفیت آزمایشگاهی، قیمت مناسب و پشتیبانی علمی واقعی هستید، شیمی کهن انتخاب حرفه‌ای‌هاست.
📞 مشاوره تخصصی قبل از خرید
🚚 ارسال سریع و ایمن
✅ تضمین کیفیت آزمایشگاهی

نیترو متان برند hplc

تضمین اصالت کالا

فروشگاه اینترنتی شیمی‌کهن این ماده را از برندهای معتبر تأمین می‌کند و شما می‌توانید با شرایط زیر تهیه کنید:

  • خرید اینترنتی مطمئن و سریع

  • تضمین اصالت کالا و خلوص بالا

  • ارسال فوری به سراسر کشور

  • مشاوره تخصصی برای انتخاب محصول

  • نیاز به گواهی آنالیز و شماره کاتالوگ

  • ارسال با بسته‌بندی ایمن و حمل ویژه مواد شیمیایی

  • امکان خرید اینترنتی با مشاوره تخصصی و صدور فاکتور رسمی

  •  خرید نیترو متان برند hplc مرک معمولاً نیازمند مجوزهای قانونی و نظارتی به دلیل خطرات بالقوه آن است.

  • بسته‌بندی باید در ظروف مقاوم در برابر رطوبت و حرارت انجام شود.
  • باید از تأمین‌کنندگان معتبر تهیه شود تا خلوص و کیفیت مناسب تضمین گردد.

برای خرید این محصول، کافیست با ما تماس بگیرید یا از طریق وب‌سایت، سفارش خود را ثبت کنید. ما آماده تأمین نمک همی (کلرید روی) آکریدین اورنج  و محصولات دیگر از جمله اسید پریودیک کد مرک 822288 در هر مقدار موردنیاز شما هستیم.

📞 تماس با ما: [02166895887]

📧 ایمیل: [ info@shimikohan.ir]

🌐 سایت: [ww.shimikohan.ir]

همین حالا اقدام کنید خرید نیترو متان برند hplc با کیفیت را با شرایط ویژه از ما تهیه کنید!

قیمت به عواملی مانند وزن، برند، نوع بسته‌بندی و حجم سفارش بستگی دارد. جهت دریافت قیمت به‌روز با کارشناسان فروش تماس بگیرید یا از طریق فرم آنلاین سفارش دهید.

نیترو متان برند hplc

خرید نیترو متان برند hplc

شرکت شیمی کهن نمایندگی سیگماآلدریچ در ایران با همکاری کارشناسان مجرب خود در بخش فنی و فروش جهت تامین مواد اولیه پژوهش های تحقیقاتی ماده با کیفیت بالا و قیمت مناسب را فراهم نموده است. شما می توانید جهت خرید نیترو متان برند hplc با بخش فروش شرکت شیمی کهن تماس حاصل بفرمایید و پس از دریافت پیش فاکتور و اطمینان حاصل کردن از صحیح بودن شماره CAS نامبر مواد شیمیایی درخواستی اقدام به ثبت سفارش نمایید تحویل کالاهای خریداری شده و زمان تحویل آنها به صورت زیر می باشد.نیکوتین جویس 

ارسال کالاهای موجود در انبار: ۲۴ تا ۴۸ ساعت کاری می باشد.

روش ارسال کالا مشتریان تهرانتوسط پیک

 ارسال مشتریان سایر شهرها

توسط شرکت های حمل و نقل ( تیپاکسپستترمینال )

نیترو متان برند hplc

قیمت فروش نیترو متان برند hplc

شرکت شیمی کهن یکی از بزرگترین وارد کنندگان و فروشندگان مواد شیمیایی آزمایشگاهی بخصوص فروش نیترو متان برند hplc می باشد. این شرکت در زمینه واردات محصولات سیگما از تجربه بسیار بالایی برخوردار است. شما می توانید جهت خرید محصولات نمایندگی مرک آلمان و تهیه این محصول (اصلی) با بخش فروش شرکت تماس گرفته و با کارشناسان  این شرکت در ارتباط باشید.خرید نیکوتین مایع

همچنین از طریق کانال واتساپ شرکت نام محصول  را به همراه میزان نیاز خود  ارسال  کنید. در کمترین زمان  ممکن پاسخ استعلام خود را دریافت نمائید. امیدواریم بتوانیم با ارائه محصولات اصلی و با بهترین کیفیت شما را برای رسیدن به اهدافتان یاری نمائیم.نیکوتین مایع

جهت محصولات بیشتر در نمایندگی سیگما آلدریچ و استعلام سریع قیمت نیترو متان برند hplc  میتوانید ازطریق کانال واتساپ شرکت با ارسال نام ماده و مقدار نیاز درکمترین زمان پاسخ استعلام خود رادریافت نمائید.

راههای ارتباطی :
021-66895887(ساعات تماس:8:30 الی 19)
واتساپ:09122885447
(ساعات تماس 24ساعت)

84 / 100 امتیاز سئو
LiveZilla Live Chat Software
تماس با ما
تماس تلفنی

شماره تماس

09122885447

تلفن ثابت

شماره تماس

02166895887

اطلاعات
اطلاعات
بازگشت