ساعات کار از ساعت 8:30 صبح تا 18 بعد از ظهر - پشتيباني فروش -02166895887-09122885447
tel

خرید کربوکسی‌متیل کیتوزان

دسته بندی
آخرین محصول
تماس / Contact
  • تلفن : 66895887-021
  • واتس آپ _ تلگرام 09122885447
  • ایمیل : info@shimikohan.ir
فروش نیکوتین مرک آلمان

خرید کربوکسی‌متیل کیتوزان

اگر در حوزه‌ی بیوتکنولوژی، داروسازی یا علوم مواد فعالیت دارید، قطعاً نام کربوکسی‌متیل کیتوزان (Carboxymethyl Chitosan) را شنیده‌اید. این مشتق پیشرفته از کیتوزان، با داشتن خاصیت زیست‌سازگاری بالا، قابلیت حل در آب و فعالیت زیستی منحصربه‌فرد، به یکی از مواد پرطرفدار در پروژه‌های تحقیقاتی و صنعتی تبدیل شده است.

در حقیقت، کربوکسی‌متیل کیتوزان را می‌توان نسل جدیدی از پلیمرهای طبیعی هوشمند دانست که هم در محیط زیست تجزیه می‌شود، هم در بدن انسان واکنش ناخواسته ایجاد نمی‌کند. در این صفحه، تمام جزئیات فنی، کاربردی و تجاری این ترکیب ارزشمند را مرور می‌کنیم تا خریدی دقیق و آگاهانه داشته باشید.

ما اصالت کالا را تضمین می‌کنیم. کربوکسی‌متیل کیتوزان Merck/Sigma با برگه آنالیز (COA)، بسته‌بندی استاندارد و مشاوره تخصصی قابل ارائه است. هم‌اکنون سفارش دهید.

برای خرید کربوکسی‌متیل کیتوزان کد: 926043 با شیمی کهن  در ارتباط باشید.

021-66895887تماس :8:30 الی 18)

واتساپ:09122885447 ( 24ساعت)

اگر شما یک دانشجو یا پژوهشگر دانشگاهی هستید، می‌توانید کربوکسی‌متیل کیتوزان را با تضمین اصالت و بسته‌بندی استاندارد از فروشگاه ما تهیه کنید و پروژه تحقیقاتی خود را با اطمینان پیش ببرید.

کربوکسی‌متیل کیتوزان

کربوکسی‌متیل کیتوزان (Carboxymethyl Chitosan) یک پلیمر طبیعی محلول در آب با خواص بی‌نظیر است که در صنایع داروسازی، غذایی، کشاورزی و آزمایشگاهی کاربرد فراوان دارد. این ماده مشتق کیتوزان است و به دلیل حلالیت بالا، زیست‌سازگاری، و خواص ضدباکتری و چسبندگی فوق‌العاده، در تولید داروها، ژل‌ها، نانوذرات، پوشش‌های خوراکی و تحقیقاتی بسیار محبوب است.

تعریف کربوکسی‌متیل کیتوزان

کربوکسی‌متیل کیتوزان مرک یک پلیمر طبیعی مشتق شده از کیتوزان است که با افزودن گروه کربوکسی‌متیل، حلالیت آن در آب و واکنش‌پذیری آن به شدت افزایش یافته است.

این ماده در صنایع داروسازی، زیست‌فناوری، کشاورزی و صنایع غذایی کاربردهای گسترده دارد و به دلیل خواص زیست‌سازگار، غیرسمی و محلول بودن، به‌عنوان یک ماده واسطه و حامل دارویی بسیار محبوب است.

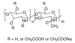
کربوکسی‌متیل کیتوزان (Carboxymethyl Chitosan) یکی از مشتقات اصلاح‌شده‌ی کیتوزان است که از دِاستیلاسیون جزئی کیتین (ماده سازنده پوسته سخت‌پوستان) به‌دست می‌آید. در فرآیند سنتز، گروه‌های -COOH (کربوکسی‌متیل) به ساختار کیتوزان افزوده می‌شود و خاصیت محلول بودن در آب را به آن می‌دهد.

  • فرمول شیمیایی تقریبی: C₈H₁₅NO₆

  • جرم مولی متوسط: بسته به درجه‌ی دی‌استیلاسیون بین 200 تا 800 کیلو دالتون

  • شکل ظاهری: پودر سفید یا زرد کم‌رنگ

  • انحلال‌پذیری: به‌راحتی در آب حل می‌شود (برخلاف کیتوزان خالص)

کربوکسی‌متیل کیتوزان

926043

Sigma-Aldrich

Carboxymethyl chitosan

Carboxymethylation >/=80%

Synonym(s):Carboxymethylchitosan

CAS Number:83512-85-0
MDL number:MFCD00008812
UNSPSC Code:12162002
NACRES:NA.23

ویژگی‌ها و مشخصات فیزیکوشیمیایی

کربوکسی‌متیل کیتوزان پودری سفید تا زرد کم‌رنگ است و بسته به درجه جایگزینی کربوکسی‌متیل و وزن مولکولی، حلالیت و ویسکوزیته متفاوتی دارد. وزن مولکولی آن معمولاً بین 50 تا 200 کیلو دالتون متغیر است و محلولیت آن در آب به‌راحتی بیش از 1% است.

این پلیمر در حلال‌های آبی و اسیدی محلول است اما در حلال‌های آلی تقریباً نامحلول می‌باشد. نقطه ذوب مشخص ندارد چون پلیمر است، اما دمای پایدار آن حدود 200 درجه سانتی‌گراد است. PH محلول‌های آبی معمولاً 6 تا 7 است و دانسیته پودر حدود 0.3 تا 0.5 گرم بر سانتی‌متر مکعب است.

ویژگی‌های فیزیکی آن شامل چسبندگی بالا، توانایی ژل‌سازی و ایجاد فیلم‌های نازک، و مقاومت مکانیکی قابل توجه است. این مشخصات باعث شده کربوکسی‌متیل کیتوزان برای کاربردهای صنعتی و تحقیقاتی بسیار جذاب باشد.

کربوکسی‌متیل کیتوزان

ویژگیمقدار / توضیح
ظاهرپودر سفید تا کرم
بوی خاصملایم، غیر تحریک‌کننده
pH محلول 1%حدود 6.5 تا 7.5
چگالی ظاهریحدود 0.3–0.5 g/cm³
انحلال‌پذیریمحلول در آب و محلول‌های با pH خنثی
نقطه تجزیهبالای 200°C
پایداریدر دمای اتاق و شرایط خشک پایدار است

ویژگی متمایز: برخلاف کیتوزان معمولی، این ماده در آب خالص کاملاً محلول است، به همین دلیل در کاربردهای زیستی و دارویی به‌ویژه برای انتقال دارو، نانوژل‌ها و فیلم‌های زیست‌تخریب‌پذیر بسیار پرکاربرد است.

خواص شیمیایی و زیستی

شرکت شیمی کهن، نمایندگی مواد شیمیایی سیگماآلدریچ در ایران  می باشد. این مجموعه کلیه محصولات و مواد شیمیایی آزمایشگاهی را از جمله محصولات  مرک merck ، و سیگماآلدریچ ، و کلیه محصولات آزمایشگاهی و صنعتی  را به مشتریان  ارائه می دهد.

کربوکسی‌متیل کیتوزان ترکیبی چندکاره است که هم ویژگی‌های شیمیایی کیتوزان را حفظ می‌کند و هم با افزودن گروه‌های کربوکسی، واکنش‌پذیری جدیدی پیدا می‌کند.

🔹 ویژگی‌های شیمیایی:

دارای گروه‌های عاملی آمین (-NH₂) و کربوکسیل (-COOH) فعال

توانایی تشکیل کمپلکس با فلزات سنگین (مثل Cu²⁺ و Pb²⁺)

قابلیت پیوند عرضی با آلدهیدها و پلی‌مرهای طبیعی

🔹 خواص زیستی:

زیست‌سازگار و غیرسمی برای سلول‌های انسانی

ضدباکتری و ضدقارچ طبیعی

تجزیه‌پذیر زیستی و دوستدار محیط زیست

تحریک‌کننده ترمیم بافت و بازسازی پوست

کربوکسی‌متیل کیتوزان

نکات ایمنی و نگهداری

اگرچه کربوکسی‌متیل کیتوزان ماده‌ای غیرسمی و ایمن است، اما برای استفاده‌ی آزمایشگاهی باید موارد ایمنی زیر رعایت شود:

  • از ماسک و دستکش هنگام کار با پودر استفاده شود تا از استنشاق گرد و غبار جلوگیری گردد.

  • در ظروف دربسته و محیط خشک نگهداری شود تا رطوبت جذب نکند.

  • در صورت تماس با چشم، با آب شست‌وشو داده شود.

  • غیر قابل اشتعال است و در دمای اتاق پایدار باقی می‌ماند

کاربردهای کربوکسی‌متیل کیتوزان در صنعت و تحقیقات

۱. صنایع دارویی و پزشکی

  • حامل دارو (Drug Carrier): در تولید نانوذرات و نانوژل‌ها برای کنترل سرعت آزادسازی داروها.

  • ترمیم زخم: ساخت فیلم‌ها و هیدروژل‌های ترمیم‌کننده‌ی پوست.

  • دارورسانی پروتئین‌ها و DNA: به‌دلیل خاصیت زیست‌سازگاری و بار الکتریکی کنترل‌شده.
    مثال: در فرمولاسیون ژل‌های زخم سوختگی و دارورسانی انسولین استفاده می‌شود.

 ۲. بیوتکنولوژی و علوم زیستی

  • تثبیت آنزیم‌ها روی سطح پلیمر

  • بستر کشت سلول‌ها در محیط‌های سه‌بعدی

  • تصفیه زیستی فاضلاب از طریق جذب فلزات سنگین

 ۳. صنایع آرایشی و بهداشتی

  • به عنوان عامل مرطوب‌کننده و ضدباکتری در کرم‌ها، شامپوها و لوسیون‌ها

  • بهبود ماندگاری مواد فعال زیستی در محصولات پوستی

 ۴. تصفیه آب و محیط زیست

  • جاذب مؤثر برای یون‌های فلزی و رنگ‌های صنعتی

  • کمک‌انعقادکننده در سیستم‌های تصفیه آب صنعتی

 ۵. صنایع بسته‌بندی زیست‌تخریب‌پذیر

  • تولید فیلم‌ها و پوشش‌های خوراکی برای بسته‌بندی مواد غذایی

  • جایگزینی مناسب برای پلاستیک‌های نفتی

کربوکسی‌متیل کیتوزان

نحوه استفاده در آزمایشگاه

  • مقدار مورد نظر از پودر را در آب مقطر یا محلول با pH خنثی حل کنید (به‌صورت تدریجی و همراه با هم‌زدن).
  • محلول حاصل شفاف و ویسکوز است — مناسب برای تهیه فیلم، ژل یا نانوذرات.
  • برای سنتز نانوژل یا اتصال عرضی، از مواد متداول مانند گلوترآلدهید یا ژنیپین استفاده می‌شود.
  • در صورت استفاده برای جذب فلزات یا رنگ‌ها، محلول را با غلظت 1–2% آماده کنید.

مزایا و معایب

مزایا:

  • حلالیت بالا در آب و محلول‌های آبی

  • زیست‌سازگار و غیرسمی

  • خواص ضدباکتری و ضدقارچ

  • قابلیت ژل‌سازی و فیلم‌سازی

  • کاربرد گسترده در داروسازی، غذایی و کشاورزی

  • توانایی ایجاد نانوذرات و سیستم‌های تحویل دارو

معایب:

  • حساس به رطوبت و نور

  • قیمت نسبتاً بالاتر نسبت به کیتوزان معمولی

  • ویسکوزیته بالای محلول‌های غلیظ نیازمند کنترل دما و هم‌زدن مناسب

  • ممکن است در صورت خشک شدن، گره‌خوردگی و جمع‌شدگی ایجاد کند

برندهای معتبر و بسته‌بندی

در بازار ایران و جهان، برندهای معتبر تولیدکننده کربوکسی‌متیل کیتوزان شامل موارد زیر هستند:

  • Sigma-Aldrich (سیگما آلدریچ، آمریکا)

  • Merck (مرک آلمان)

  • TCI (ژاپن)

  • Loba Chemie (هند)

  • Aladdin (چین)

📦 بسته‌بندی‌های متداول:

  • گرید آزمایشگاهی: پودر در ظروف ۱۰، ۲۵ یا ۱۰۰ گرمی

  • گرید صنعتی: کیسه‌های ۱ تا ۵ کیلوگرمی

  • گرید پزشکی / تحقیقاتی: با مشخصات دقیق درجه دی‌استیلاسیون و وزن مولکولی

D-آمینو اسید اکسیداز

راهنمای خرید و شرایط فروش

هنگام خرید کربوکسی‌متیل کیتوزان به موارد زیر توجه کنید:

  1. گرید محصول: آیا برای مصارف تحقیقاتی، پزشکی یا صنعتی نیاز دارید؟

  2. درجه دی‌استیلاسیون (DD%) و وزن مولکولی: تأثیر مستقیم بر خواص محلول و زیستی دارد.

  3. خلوص و گواهی آنالیز (COA): از فروشنده معتبر بخواهید.

  4. شرایط نگهداری: محصول باید در بسته‌بندی دربسته و خشک تحویل داده شود.

  5. قیمت: بسته به برند، گرید و حجم، متفاوت است. معمولاً گرید تحقیقاتی سیگما و مرک بالاترین قیمت را دارد.

سؤالات متداول

کربوکسی‌متیل کیتوزان برای چه کاربردهایی مناسب است؟
داروسازی، غذایی، کشاورزی، نانوذرات و تحقیقات زیست‌فناوری.

آیا خطر سمی دارد؟
خیر، غیرسمی است اما تماس با پودر خشک ممکن است پوست یا بینی را تحریک کند.

چگونه محلول مناسب آماده کنیم؟
در آب یا بافر مناسب، با دمای 20–40 درجه سانتی‌گراد و هم‌زدن آرام.

آیا امکان خرید بسته‌های کوچک وجود دارد؟
بله، بسته‌های 100، 250 و 500 گرمی موجود است.

چگونه نگهداری کنیم؟
در محیط خشک، خنک و دور از نور مستقیم نگهداری شود.

برند معتبر کدام است؟
Sigma-Aldrich، TCI، Merck، Alfa Aesar و Thermo Fisher از معتبرترین برندها هستند.

برای خرید کربوکسی‌متیل کیتوزان اصل با کیفیت بالا، ارسال سریع و قیمت رقابتی، همین حالا سفارش خود را از فروشگاه ما ثبت کنید. کارشناسان ما آماده‌اند تا در انتخاب گرید مناسب، نحوه استفاده، بسته‌بندی و راهنمایی ایمنی به شما مشاوره دهند. چه برای پروژه تحقیقاتی، خط تولید دارویی یا کاربرد صنعتی، می‌توانید با سفارش آنلاین محصول را در سریع‌ترین زمان دریافت کنید.

کربوکسی‌متیل کیتوزان

تضمین اصالت کالا

فروشگاه اینترنتی شیمی‌کهن این ماده را از برندهای معتبر تأمین می‌کند و شما می‌توانید با شرایط زیر تهیه کنید:

  • خرید اینترنتی مطمئن و سریع

  • تضمین اصالت کالا و خلوص بالا

  • ارسال فوری به سراسر کشور

  • مشاوره تخصصی برای انتخاب محصول

  • نیاز به گواهی آنالیز و شماره کاتالوگ

  • ارسال با بسته‌بندی ایمن و حمل ویژه مواد شیمیایی

  • امکان خرید اینترنتی با مشاوره تخصصی و صدور فاکتور رسمی

  •  خرید کربوکسی‌متیل کیتوزان مرک معمولاً نیازمند مجوزهای قانونی و نظارتی به دلیل خطرات بالقوه آن است.

  • بسته‌بندی باید در ظروف مقاوم در برابر رطوبت و حرارت انجام شود.
  • باید از تأمین‌کنندگان معتبر تهیه شود تا خلوص و کیفیت مناسب تضمین گردد.

برای خرید این محصول، کافیست با ما تماس بگیرید یا از طریق وب‌سایت، سفارش خود را ثبت کنید. ما آماده تأمین نمک همی (کلرید روی) آکریدین اورنج  و محصولات دیگر از جمله دی کلسیم فسفات در هر مقدار موردنیاز شما هستیم.

📞 تماس با ما: [02166895887]

📧 ایمیل: [ info@shimikohan.ir]

🌐 سایت: [ww.shimikohan.ir]

همین حالا اقدام کنید خرید کربوکسی‌متیل کیتوزان با کیفیت را با شرایط ویژه از ما تهیه کنید!

قیمت به عواملی مانند وزن، برند، نوع بسته‌بندی و حجم سفارش بستگی دارد. جهت دریافت قیمت به‌روز با کارشناسان فروش تماس بگیرید یا از طریق فرم آنلاین سفارش دهید.

 تترا کلرو پلاتینات پتاسیم (II)

خرید کربوکسی‌متیل کیتوزان

شرکت شیمی کهن نمایندگی سیگماآلدریچ در ایران با همکاری کارشناسان مجرب خود در بخش فنی و فروش جهت تامین مواد اولیه پژوهش های تحقیقاتی ماده با کیفیت بالا و قیمت مناسب را فراهم نموده است. شما می توانید جهت خرید کربوکسی‌متیل کیتوزان با بخش فروش شرکت شیمی کهن تماس حاصل بفرمایید و پس از دریافت پیش فاکتور و اطمینان حاصل کردن از صحیح بودن شماره CAS نامبر مواد شیمیایی درخواستی اقدام به ثبت سفارش نمایید تحویل کالاهای خریداری شده و زمان تحویل آنها به صورت زیر می باشد.نیکوتین جویس 

ارسال کالاهای موجود در انبار: ۲۴ تا ۴۸ ساعت کاری می باشد.

روش ارسال کالا مشتریان تهرانتوسط پیک

 ارسال مشتریان سایر شهرها

توسط شرکت های حمل و نقل ( تیپاکسپستترمینال )

 کربوکسی‌متیل کیتوزان

قیمت فروش کربوکسی‌متیل کیتوزان

شرکت شیمی کهن یکی از بزرگترین وارد کنندگان و فروشندگان مواد شیمیایی آزمایشگاهی بخصوص فروش کربوکسی‌متیل کیتوزان می باشد. این شرکت در زمینه واردات محصولات سیگما از تجربه بسیار بالایی برخوردار است. شما می توانید جهت خرید محصولات نمایندگی مرک آلمان و تهیه این محصول (اصلی) با بخش فروش شرکت تماس گرفته و با کارشناسان  این شرکت در ارتباط باشید.خرید نیکوتین مایع

همچنین از طریق کانال واتساپ شرکت نام محصول  را به همراه میزان نیاز خود  ارسال  کنید. در کمترین زمان  ممکن پاسخ استعلام خود را دریافت نمائید. امیدواریم بتوانیم با ارائه محصولات اصلی و با بهترین کیفیت شما را برای رسیدن به اهدافتان یاری نمائیم.نیکوتین مایع

جهت محصولات بیشتر در نمایندگی سیگما آلدریچ و استعلام سریع قیمت کربوکسی‌متیل کیتوزان میتوانید ازطریق کانال واتساپ شرکت با ارسال نام ماده و مقدار نیاز درکمترین زمان پاسخ استعلام خود رادریافت نمائید.

راههای ارتباطی :
021-66895887(ساعات تماس:8:30 الی 19)
واتساپ:09122885447
(ساعات تماس 24ساعت)

85 / 100 امتیاز سئو
LiveZilla Live Chat Software
تماس با ما
تماس تلفنی

شماره تماس

09122885447

تلفن ثابت

شماره تماس

02166895887

اطلاعات
اطلاعات
بازگشت